15065

1pcs Automatic Light 15 Years 0 65mm 4 1mm Tritium For Diy Watches For Hour Hand Free Shipping Light That Projects Stars Light Pinklight Blue Christmas Ornaments Aliexpress

15 Mile Phase 3 Lot 1 Marshall Mi Mls Zillow

Brady Dat 15 502 10 Datab Rectangle Printable Label 0 65 X 0 2 X 0 0096 White Pack Eis

Rain Bird A17ap Mclendon Hardware

Finish Line Wet Lube And Dry Lube 0 65oz 15 Wet 15 Dry Canister Of 30 365 Cycles

0 65ct Natural Blue Sapphire Good Quality Gemstone


Jackson 5700 003 55 15 Spacer

1 712 Sukaan 9 Komen Annie Case Fine Jewelry Anniecasepearl Pada Instagram 15 16mm Aquamarine And South Sea Pearl Pend In Belly Button Rings Jewelry Rings

Nic Components Npi42ls150mtrf Inductor Unshielded Smd Npi42ls 15 µh 0 65 A 3000 Pc S Conrad Com

Uxcell Aux0248 15 Piece Smd Sop24 Ssop24 Tssop24 0 65 Mm 1 27 Mm To Dip 2 54 Mm Pcb Board Adapter Amazon Com Industrial Scientific

C W 4 C 1 15 C 2 10 8 1 R 0 65 And Coxian Distribution Download Scientific Diagram
60895-6.fp.png)
Crtuk6rjxuizum

Clear Doorknob Bag 0 65 Mil 5 1 2 X 15 Sarkina

Answered Component Weight Fraction 0 65 C2 0 15 Bartleby

Nemic Lambda Rws30a 15 A Power Supply Input 100 240vac 0 65a Output 15vdc 2a Ebay

Glo Skin Beauty Lip Balm Spf 15 All Varieties 0 65 Oz

China Factory Direct Supply Alumina Ceramic Chips Aluminium Oxide Ceramic Substrate 15 22 0 65mm With Holes China Alumina Alumina Ceramic

15 Off 0 65w 1 5v Polycrystalline Silicon Solar Panel Solar Cell For Diy Power Charger 60 80mm Lazada

Black T Shirt Bags High Density 15 X 7 X 26

Black T Shirt Bags 0 65 Mil High Density 6 X 4 X 15
Fantapak Poly Bag 8 X 3 X 15 0 65 Mil Trio Supply Company

1650 15 0 65mm Wood Band Saw Blade Carbon Steel Bandsaw Blades Woodworking Tools Accessories Tpi 6 Wish

Idec Ps5r Sb24 Eddy Group Limited

Sodium Chloride Nasal Drops 0 65 W V Packaging Size 15 Ml Id

2pcs 1650 15 0 65mm Bandsaw Blades Carbon Steel Band Saw Blade For Wood Metal Plastic Tpi 6 Lazada Ph

Polypropylene Strap 15 X 0 65 Mm Unipack Eu

15 131 Hunger Creek Ln Bigfork Mt Realtor Com
Rainbird A17q Shrubbery Spray Nozzle 1 2 Inch Fnpt 15 Ft 0 65 To 0 92 Gpm Kooyman Online Catalog

Cobex Recorders C7 50 15 6 6 Inch 7 Day Ink Chart

Chronomite Instant Flow Sr Low Flow 0 35 Gpm Point Of Use Electric Tankless Water Heater 15 Amp 277 Volt 4150 Watt Sr 15l 277 I The Home Depot

Amazon Com Hitachi Sj300 L300p Fan Servo D1338b24b7cz 15 Dc24v 0 65a 2wire Frequency Converter Fan Computers Accessories

W1pt 10mmclear Heatshrink Tubing 15 Mm 065 Mm 15 M Transparent Woer

Guardian 15 Gallon 0 65 Gpm Flow Rate At 80 Psi Pressurized With Drench Hose Portable Eye Wash Station Msc Industrial Supply

4x Kpg 0603pbc Tt 5mav Led Smd 01 Blue 15 25mcd 0 65x0 35x0 2mm 145 2 9 3 1v Amazon Co Uk Lighting

Solenoid Pump Ulka Ex5 15 Bar 0 65 L Minute Hans Joachim Schneider Gmbh

Shop Kieragrace Kg Photo 3 Panel Room Divider Brown 33 X 64 5 X 0 65 Overstock

15 Ton 0 65m3 Bucket Construction Machinery Big Type Wheel Excavator Buy Excavator Wheel Excavator Construction Machinery Product On Alibaba Com

Latex Tape Roll From Atipick In Resistance Bands And Tapes From Masmusculo Com

5 In 1 Universal Wide Angle 0 65 10 Macro Lens 180 Fisheye

Kiss Projection Hamusoidal North N 0 85 South N 0 65 15 Download Scientific Diagram

1650 15 0 65mm Wood Band Saw Blade Carbon Steel Bandsaw Blades Woodworking Tools Accessories Tpi 6 Saw Blades Aliexpress

1650 15 0 65mm Wood Band Saw Blade Carbon Steel Bandsaw Blades Woodworking Tools Accessories Tpi 6 Saw Blades Aliexpress

Nte Electronics Heat Shrink Tubing 3 8 Inch Clear 0 65 Mm 15 Pack 2 1 48 Inch Thin Wall State Electric

Solved Question 1 Using Table 1 Find B 9 15 0 65 Quest Chegg Com

Percent Decimal Fractions 40 0 40 4 10 7 10 70 0 Chegg Com

Amazon Com Generic Metal Silvery Rectangle Buckle 1 55 X 0 65 Inside Dimension For Strap Keeper Pack Of 15

Shop 15 X Smd 0 65mm Pitch To 1 27mm Pitch Ic Dip Pcb Board Adapter Socket Plate On Sale Overstock

15 X 7 X 26 Thank You Merchandise Bags 0 65 Mil 1000 Case

Ultrasonic Piezoelectric Ceramic Disc 15 0 65mm Pzt4 Piezo Disks Pzt Crystals Sensor Elements Chips Cleaning Transmitter Chips Ultrasonic Cleaner Parts Aliexpress

Pp Strap 15 X 0 65 Mm Unitape

Hms Xx P Datasheet By Lem Usa Inc Digi Key Electronics
2 Expansion Of Water Vapor From 0 65 Dm 3 To 1 Dm 3 At 15 C The Download Scientific Diagram

Omron 15 Watt 0 65 Amp 240 Vac 350 Vdc Input 24 Vdc Output Din Rail Power Supply Msc Industrial Supply

Solved Probability 0 25 Return 30 15 14 0 65 0 10 3 Chegg Com

Omron 15 Watt 0 65 Amp 240 Vac 350 Vdc Input 24 Vdc Output Din Rail Power Supply Msc Industrial Supply

15 Pc Hss Drill Bit Set 0 30mm To 1 0mm Jane S Tools

Squb8znjfxvfrm

Sale 0 50 Instead Of 0 65 Tulle Candy Pink Sparkly Meter 15 X Etsy

Bekaert Guy Strain Insulator Gray 73 Mm 108 Mm 4 1 4 Inch 15 Kv 48 Mm 1 7 8 Inch 0 65 Kg State Electric

Take A Bet The Winner Gets 0 65 Xrp 15 Kin 10 Doge 30 Vaporcoins 10 Hex And A Kiss On The Forehead By Ted Livingston Kinfoundationtruth

Amazon Com Lillian Rose Botanical And Geometric Guest Book With Gold Accents 0 65x8 25x8 15 Multi Kitchen Dining

D1338b24b7cz 15 Original Servo High Power Cooling Fan 24v 0 65a Newegg Com

Tn K13 50w Smd Resistor 1 4w Frequency 15 Ghz 10 X 4 X 0 65 Mm Buy On Line Rf Microwave Com

Mesoscale Convective Complexes Mccs

15 W Arrellaga St Apt 4 Santa Barbara Ca Mls 3397 Zillow

Dimensions 4 5 Inches X 3 30 Inches X 0 65 Inches Features Three Internal Compartments Two Partition English Bridle Leather Zip Wallet Zip Around Wallet

Dcj065 15 Dc Power Jack Thru Hole Horizontal 0 65mm Pin

Figure 15 From Ionic Conductivity Of Mixed Glass Former 0 35na 2 O 0 65 Xb 2 O 3 1 X P 2 O 5 Glasses Semantic Scholar

Olivibra Mve 1100 15 Ena0ja0000 1114kg Force 0 65kw Pneutrol Express

Pp Strap 15 X 0 65 Mm Unitape

T S B 0154 Cr C Wall Mounted 31 3 4 High Pre Rinse Faucet With Adjustable 8 Centers 0 65 Gpm Spray Valve 44 Hose 15 Double Jointed Add On Faucet And 6 Wall Bracket

Solved Question 8 15 Points 0 65 192 2 The Mean Are Chegg Com

Jantzen Audio 0 65mh 15 Awg Litz Wire Air Core Inductor

Relationship Between The Percentage Of Women 15 19 Still Single And The Download Scientific Diagram

Rainbird 15 Q C1 Quarter Circle Spray Head Nozzle 0 65 0 92 Gpm 15 30 Psi 3 4 In Height

Shop Kieragrace Kg Photo 3 Panel Room Divider Brown 33 X 64 5 X 0 65 Overstock

Solved Suppose F T 0 65 And F 1 7 Find The V Chegg Com

Pack Of 1000 Poly Bakery Bread Bags 6 X 3 X 15 Clear Gusseted Bags 6 X 3 X 15 Fda Approved 0 65 Mil Thick Polyethylene Bags For Home Bakeries And Other Food Industry Businesses Walmart Com Walmart Com

Hot Sale And Cheap Hot Atm Parts Japanese Nitta Brand Belt 15 519 0 65 Buy Belt Atm Parts Hot And Cheap Hot Atm Parts Japan Nitta Brand Belt 15 519 0 65 Product On Alibaba Com

1650 15 0 65mm Wood Band Saw Blade Carbon Steel Bandsaw Blades Woodworking Tools Accessories Tpi 6 From Sanjiaomeiflo 22 87 Dhgate Com

Lead Seoul Stocks Up For 4th Day To Over 2 Year High On Tech Gains Vaccine Hopes Yonhap News Agency

Nvent Raychem Mbsm 75 15 10 B6 Nvent Raychem Mbsm 75 15 10 B6 Cable Repair Sleeve Type Mbsm Cable Range 0 65 2 65 Length 48 Discontinued Rexel Usa

Polypropylene Strap 15 X 0 65 Mm Unipack Eu

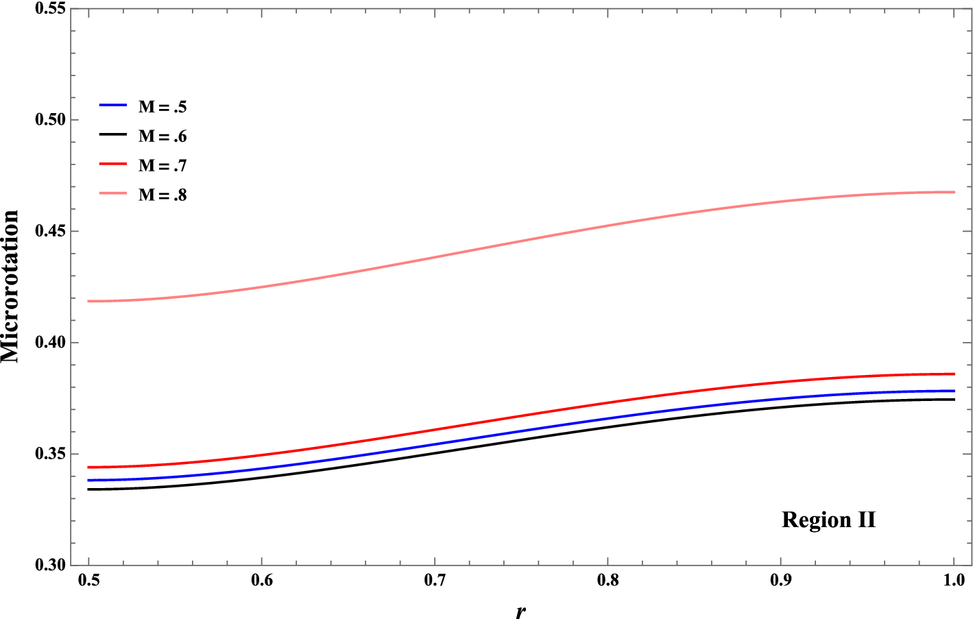
Figure 15 Analysis Of Immiscible Newtonian And Non Newtonian Micropolar Fluid Flow Through Porous Cylindrical Pipe Enclosing A Cavity Springerlink
Rainbird 15 Q C1 Quarter Circle Spray Head Nozzle 0 65 0 92 Gpm 15 30 Psi 3 4 In Height Vorg 15qc1

Solved Question 2 A Suppose X Bin 15 0 65 Using The Me Chegg Com

1pc New Fan Freeship D1338b24b7cz 15 24v 0 65a Servo Sj300 L300p Ebay

Lamp Base Weights 2 15 16 Inch Diameter Nostalgicbulbs Com

Nemic Lambda Rws30a 15 A Power Supply Input 100 240vac 0 65a Output 15vdc 2a Ebay

Pack Of 50 Poly Bakery Bread Bags 5 5 X 4 75 X 15 Clear Gusseted Bags 5 1 2 X 4 3 4 X 15 0 65 Mil Thick Polyethylene Bags For Home Bakeries And Other Food Industry Businesses Walmart Com Walmart Com

Authentic Thunderhead Creations Kanthal 22ga 0 65mm Resistance Wire

D1338b24b7cz 15 Original Servo High Power Cooling Fan 24v 0 65a Newegg Com

S8vkg Omron 15 Watt 0 65 Amp 240 Vac 350 Vdc Input 24 Vdc Output Din Rail Power Supply

Tdk Lambda Ccg 15 24 12d Dc Dc Converter Print 24 V 0 65 A 15 6 W No Of Outputs 1 X Conrad Com

Unico 40x Din Achromat Objective N A 0 65 Retractable Front Lens B6 2103 15 Off W Free S H

Shrink Tubing Box 2 1 1 5 0 65 Mm Black 15 M 59

Factory Direct Supply Alumina Ceramic Chips Aluminium Oxide Ceramic Substrate 15 22 0 65mm With Holes From Andychow 123 24 56 Dhgate Com
Amp Inc 2 Telephone Cable Splice Package Of 15
Grainger Approved Door Knob Bags 0 65 Mil Clear Polypropylene Width 9 1 2 Length 15 00 Pk 5dtv8 5dtv8 Grainger

Gusseted Bakery Bread Bags 5 5 X 4 75 X 15 X 0 65 Mil