N+1n+2n+32n Convert Into Factorial
Www Jstor Org Stable 10 4169 Math Mag 85 3 177

Which Of The Following Is Equal To Displaystyle Frac 1 3 5 Left 2n 1 Right Nbsp 2 4 6 Left 2n Right Nbsp Nbsp
Http Unsworks Unsw Edu Au Fapi Datastream Unsworks 575 Source02 View True

Convert The Following Products Into Factorials 1 3 5 7 9 2n 1

Convert The Following Products Into Factofials 5 Cdot 6 Cdot 7 Cdot 8 Cdot 9 Cdot 10 Mathrm Hi N 1 N 2 N 3 Ldots 2 N Iv 1 Cdot 3 Cdot 5 Cdot 7 Cdot 9 Ldots 2 N 1
1
O(2^(n+1)) is the same as O(2 * 2^n), and you can always pull out constant factors, so it is the same as O(2^n).

N+1n+2n+32n convert into factorial. Finite differences can help you find the pattern if you have a. Hence, 7 n+1 -2 n+1 = 5x7 n +2x5k = 5(7 n +2k), so. Write a .m program to generate the factorial of a number.
Https://doubtnut.app.link/g17jq77pxM Express in factorial form `(n+1)(n+2)(n+3)(2n)` CLASS 12,CLASS 11,JEE MAIN,IIT JEE,PHY. How can i fix this?. Note how I was able to cancel off a bunch of numbers in the previous problem.
= n(n - 1)!. Numbers 6-8 suggest a general pattern. निम्नलिखित उत्पादों को फैक्टोरियल में कनवर्ट करें:.
The factorial operation is encountered in many areas of mathematics, notably in combinatorics. You use the factorial operation in the formulas used to count the number of elements in the union, intersection, or complement of sets. By converting a number less than n!.
However, constant factors are the only thing you can pull out. Homework Equations The limit as n goes to infinity for 1/1 + 1/2 +. = ⋅ (−) ⋅ (−) ⋅ (−) ⋅ ⋯ ⋅ ⋅ ⋅.
And (n+1) no factorial, you've missed. Convert,the,product,Factorial,into,Convert the product into Factorial. How to convert 3*2^(n) + 2^(2n+1) - 2^(n+1) into 2^(2n+1) + 2^(n) Hi all!.
And is called n factorial or factorial n. In either case, 6!. Stack Exchange network consists of 176 Q&A communities including Stack Overflow, the largest, most trusted online community for developers to learn, share their knowledge, and build their careers.
C → C, which vanishes at z→ +∞, is an expansion of the type. 22C11 = fact(2*n)/(fact(n)*fact(n)) where i sent n as 11. Don’t stop learning now.
Convert the following products into factorials:. = (1) (2) (3) ∙∙∙ (n) (n + 1) (n + 2) (n + 3) ∙∙∙ (2n - 1) (2n). French term or phrase:.
2n!= 1*2*3*4*n*(n+1) And here we need to convert (n+1)(n+2)(n+3)(2n) into factorial. Try without using for loops. Free Online Scientific Notation Calculator.
Then we can say that a (n + 2) + b (n + 1) = 1. ((n+2) * (n+2-1) * (n+2-2)!)/((n)!) =((n+2) * (n+1) * (n)!)/((n)!) We can cancel (n)!. This is because of how factorials are defined, and this property can simplify your work a lot.
It means my manager at the immediate higher level, and then second after that, and then third, etc. The factorial operation, n!, is defined as n!. R=1 r(r +1)(r +2) = 1 4 n(n+1)(n+2)(n+3) Can you see how the results from numbers 6-8 could be used to obtain the results mentioned in 1-3.
But you might notice that those fractions are *nearly* one, and so our recurrence is *almost* b(n+2) = 2b(n+1) - b(n), which is an easy recurrence to solve. I have declared a variable ans and set it to 0. Find the volume of the solid obtained by rotating.
Is there an article that discusses(or at least, mentions) this product?. (factoring these really helps) After you have your pattern, then you can use mathematical induction to prove the conjecture is correct. 1 · 3 · 5 · 7 · 9.
If an integer P is a factor of an integer N, that means P is also a factor of (N+P), and because every P from 1 to 0 is a factor of 0!, that means every integer N+P, where 1 <= P <= 0, has a factor P and is therefore composite. Convert the following products into factorials n 1 n 2 n 3 2n how to attempt this questionplse give me detail explanation - Mathematics. This too could be proved by induction.
I'm attempting to convert:. Let n = 2. For how many pairs of positive integers n and k with n and k less than or equal to , is the number (2n)!(2k)!n!k!(n+k)!.
Mon responsable N+1, N+2, N+3 Hello, In French, we often say "mon manager N+1" or "mon N+1" and it goes also beyond. For example, here are the ways to choose three things out a set of five:. A(n+2) + b(n+1) = 1.
One definition of a factorial for when n > 1 is:. Which is the most crowded place in Italy;. 3*2^(n) + 2^(2n+1) - 2^(n+1) into:.
Is 1, according to the convention for an empty product. I didnt understood the solution for the following question:- (n+1)(n+2)(n+3) (2n) convert the above into factorial if u cn plzz explain how the solution came which identity is used in them - Math - Permutations and Combinations. 1.2.3 + 2.3.4 + … + n(n+1)(n+2).
Convert it into factorial :- (n+1)(n+2)(n+3)(2n) Get the answers you need, now!. I've written a C++ function to calculate factorial and used it to calculate 22 C 11 (Combination). 2^(2n+1) + 2^(n) ^ means exponent.
A Stirling series (or inverse factorial series) for a function f :. N^2+3n+2 We can rewrite the numerator as:. Watch the complete video at:.
Math 152 Midterm 2 Review Sheet Solutions - 3 Now we can plug this back into the series to get X∞ n=1 2n+1 n2(n+1)2 X∞ n=1 1 n2 1 (n+1)2 This is a telescoping series, and it’s probably easiest to see the answer if we first break it up into two. And they can also be negative (except for integers). In mathematics, the factorial of a non-negative integer n, denoted by n!, is the product of all positive integers less than or equal to n.For example, !.
(n+1)(n+2)(n+3)(2n) answer = (2n)!. Is 1, according to the convention for an empty product. So convert each (n+1)!= (n+1)n.
Now my main question has become:. + 1/n - In (n) is the Euler constant, 0.577. Question Bank Solutions 6791.
This makes such series easy to analyze. R=1 r(r +1) = 1 3 n(n+1)(n+2) 8. 2(n+3) / n(n+1)(n+2)(n+3) - 2n / n(n+1)(n+2)(n+3) = 2(n+3) - 2n / n(n+1)(n+2)(n+3).
The value of 0!. If observed closely, we can see that, if we take n common, series turns into an Harmonic Progression. But we need to get into a subject called the "Gamma Function", which is beyond this page.
= 6×5×4×3×2×1 = 7, 2) 5!. In this 1.2.3 represent the first term and 2.3.4 represent the second term. Get hold of all the important DSA concepts with the DSA Self Paced Course at a student-friendly price and become industry ready.
He deserves an A, and like 30 bonus points on top of that. =(n+1)!-1 for all integers n > 1?. Relative to (n+1)!, and this previous answer should show you why thats not possible.
I can also work from the definition of a factorial:. For the signal given below, Plot a) xn-3 b) x2n+3 c) x(n/2)-4 For the given expression, yn= δn+2+2 δn+1-2 δn-1+2 δn-2+3 δn-3 Plot a) y-n. By induction hypothesis, (7 n -2 n ) = 5k for some integer k.
For example, let n. The product of first n natural numbers is denoted by n!. Solve advanced problems in Physics, Mathematics and Engineering.
2(n+3) / n(n+1)(n+2)(n+3) The second fraction needs an n term so you are going to multiply it by n/n to get:. SOME EXAMPLES OF FACTORIAL ARE:. Rewrite 1 n 2 + 3 n + 2 \frac{1}{n^2 + 3n + 2} n 2 + 3 n + 2 1 in the form a n + 1 + b n + 2 \frac{a}{n+1} + \frac{b}{n+2} n + 1 a + n + 2 b.
Factorials appear in the formulas you use to count the elements in sets that are really large. N is a variable. So if you start with:.
How to input logarithmic equations into a ti calc&. Find the sum up to n terms of the series:. = (2+1)!-1 1+2x2 = 3!-1 5 = 5, which is.
Asked by | 9th Dec, 11, 10:21:. Then the recurrence becomes 2n+3 n+1 b(n+2) = 2(----)*b(n+1) - (---)*b(n). Telescoping series is a series where all terms cancel out except for the first and last one.
It’s certainly possible to prove this algebraically, by expanding out the binomial coefficients (using ), but we can give a more elegant proof, based on the fact that is the number of ways to choose a subset of things out of a set of things. 2n / n(n+1)(n+2)(n+3) Now that your fractions have the same denominator you can combine them into one fraction. This guy put more effort into getting my dumbass to understand this concept.
I need to know the steps involved. Pastebin is a website where you can store text online for a set period of time. But not being quite so quick, I had to puzzle it out for a while.
Convert the Following Products into Factorials:. In mathematics, the factorial of a positive integer n, denoted by n!, is the product of all positive integers less than or equal to n:. I tried to calculate.
Does anyone have any idea on how I might go about this?. 9* r=1 r(r +1)(r +2)(r +p−1) = 1 p+1 n(n+1)(n+2)(n+p) Now some. 30 1.2.3 + 2.3.4 = 6 + 24 = 30 Input :.
Transforms an inverse power series into a Stirling series. Solution :-- 2n!= 1*2*3*4*n*(n+1) And here we need to convert (n+1)(n+2)(n+3)(2n) into factorial multiply and divide the expression by n!. So, the answer to your questions are yes and no.
2^(2n) can be expressed as (2^n)(2^n), and 2^n isn't a constant. But I can tell you the factorial of half (½) is half of the square root of pi. `(n+1)(n+2)(n+3)(2n)` Apne doubts clear karein ab Whatsapp (8 400 400 400) par bhi.
=((n+2) * (n+1) * 1)/1. Consider the first element of the size-set. 2n+2 n So the cost of our leap of faith is fractions.
(2n − 1) Concept:. Here are some "half-integer" factorials:. 7n+1-2n+1 = 7x7n-2x2n= 5x7n+2x7n-2x2n = 5x7n +2(7n-2n).
To factorial representation, one obtains a sequence of n digits that can be converted to a permutation of n in a. = 1 and 0!. (n+1)(n+2)(n+3)(2n) answer = (2n)!.
$$\prod_{k=2}^{N}(k!-1)$$ I looked up in this article but couldn't find a related function. Multiply and divide the expression by n!. In this video, we use partial fraction decomposition to find sum of telescoping series.
Math Expression Renderer, Plots, Unit Converter, Equation Solver, Complex Numbers, Calculation History. = ⋅ ⋅ ⋅ ⋅ =. We want to generate common factors in both locations so that they can be canceled.
For some reason, i'm getting a negative value stored in answer. Upon reading that, I was prepared to be amazed. An easy way to figure out the values of a a a and b b b is to plug in some easy numbers.
In combinatorics, the factorial number system, also called factoradic, is a mixed radix numeral system adapted to numbering permutations.It is also called factorial base, although factorials do not function as base, but as place value of digits. Homework Statement By using the Euler's constant (0.577), express the limit of the sum 1/n + 1/(n+1) +. The hard thing to evaluate is this:.
Delta(a n) = -1/((n+1)(n+2)), Delta 2 (a n) = 2/((n+1)(n+2)(n+3)), Delta 3 (a n) = -6/((n+1)(n+2)(n+3)(n+4)), etc., and multiplying by n at the end, we will get the identity of Problem 9. That’s ultimately our goal. = n(n – 1)(n – 2)(n – 3) · · · 4 · 3.
Is not defined when n is negative or a fraction. CBSE CBSE (Commerce) Class 11. Right away, I can.
But for you to ask about (2n+2)!. = × × × × = The value of 0!. The key is to compare the factorials and determine which one is larger … Simplifying Factorials with Variables Read More ».
The factorial operation is encountered in many areas of mathematics, notably in combinatorics, algebra, and mathematical analysis. (n+1)(n+2) − 3 2n(n+1)(n+2)(n+3). Then perform the above step to the numerator you end up with:.
View Answer How many different 4-digit numbers can be formed. A (n + 2) + b (n + 1) = 1. (0 factorial) meets this requirement, because every number between 1 and 0 is guaranteed to be a factor.
2 n + b, 3 n + b (powers of 2 or 3 plus/minus a constant) Factorial patterns:. + 1/2n explicitly as n goes to infinity. Factorial N (N!) Permutations and Combinations.

Is Log N 8 N Log N Stack Overflow
Arxiv Org Pdf 1907
Cs Brynmawr Edu Courses Cs231 Spring15 Induction Pdf

Sums Sumatorias

Sum Of The Sequence 2 22 222 Geeksforgeeks
Arxiv Org Pdf 1908

Simplifying Factorials With Variables Chilimath
What Is The Sum Of The Series Math 1 1 2 1 3 1 4 1 5 Math Up To Infinity How Can It Be Calculated Quora

Express In Factorial Form N 1 N 2 N 3 2n Youtube

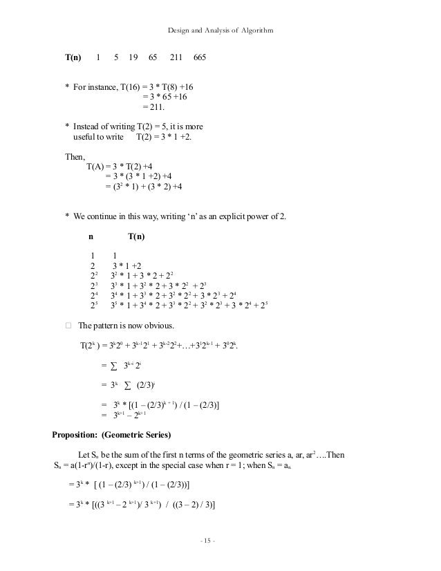
Design And Analysis Of Algorithms

Simplifying Factorials With Variables Chilimath
Basel Problem Wikipedia

Simplifying Factorials With Variables Chilimath
Http Statsinfoindia Weebly Com Uploads 7 3 9 1 Print Perm Comb Bt Pdf

Np3 5 Factorial Trick To Solve W O Calculator Ib Math Youtube

Convert The Following Products Into Factorials 5 6 7 8 9 10 Youtube

Combining 1 And 2 We Get 2102hence 31 Is The Largest Integer

Stirling S Approximation Wikipedia

Ex 7 4 2 Determine N If I 2nc3 Nc3 12 1 Chapter 7

Convert The Given Products Into Factorials 3 6 9 12 15 18

Sum Of First N Squares Equals Frac N N 1 2n 1 6 Mathematics Stack Exchange

Convert Into Factorials 3 6 9 12 15 18 21 Youtube
Arxiv Org Pdf 01
Cbse Class 11 Maths Factorial Notation Worksheet Set A
Http Www Geometer Org Mathcircles Catalan Pdf

Example 6 Show That Middle Term In Expansion Of 1 X 2n Is

Express In Factorial Form N 1 N 2 N 3 2n Youtube

Program For Factorial Of A Number Geeksforgeeks
Double Factorial Wikipedia

Permutation Wikipedia
Canvas Eee Uci Edu Files 1807 Download Download Frd 1

Ratio Test Video Khan Academy

Convert The Following Product Into Factorials Brainly In

The Formula Of Factorial Of A Number N Youtube

4 Convert The Following Products Into Factorials I 5 6 7 8 9 10 Ii 3 6 9 12 15 18 Iii 11 1 1 2 1 3 211 Iv 1 3 5 7 9 2n 1 Following True
1

Solved Define The Double Factorial Of N Denoted N As Chegg Com
Double Factorial Wikipedia

Solutions From Design And Analysis O Experiments Montgomery

Discrete Mathematics Homework 7 Solution Due Pdf Free Download
Solved A Prove By Mathematical Induction That N 2 N 1 Forall N 1 Answer Transtutors

Factorial Calculator N
Double Factorial Wikipedia
Bookdown Org Probability Solutions2
1

Sums Sumatorias
Bookdown Org Probability Solutions2

4 5 6 Tu 0 7 4 Convert The Following Products Into Factorials

Design And Analysis Of Algorithms

Example 12 Find Value Of N Np4 N 1p4 5 3 And Np5 42 Np3

Convert The Products Into Factorials I 7 8 9 10 11 Ii 2 4 6 8 10 12 14 Youtube

2n 3 2n 3 And N 2 N 2 Are In Ratio 44 3 Find N Brainly In

Convert The Following Products Into Factorial N 1 N 2 N 3 2n

Convert The Given Products Into Factorials 3 6 9 12 15 18
Teachingcenter Ufl Edu Files Exam 2 Review Problems Mac 2312 Pdf

Rd Sharma Solutions For Class 11 Chapter 16 Permutations Download Free Pdf

Convert The Following Products Into Factorials I 5xx6xx7xx8

Prove 1 2 3 N N N 1 2 Mathematical Induction

Rd Sharma Solutions For Class 11 Chapter 16 Permutations Exercise 16 1 Free Pdf Available
Arxiv Org Pdf 1908

Convert The Following Products Into Factorials Iii N 1 N

Convert The Following Products Into Factorials N 1 N 2 N 3 2n

4 Convert The Following Products Into Factorials I 5 6 7 8 9 10
Www Cse Huji Ac Il Course 03 Dast Lectures Lect03 Pdf
Double Factorial Wikipedia

Convert The Products Into Factorials N 1 N 2 2n Math Permutations And Combinations Meritnation Com
Http Www Citytech Cuny Edu Mathematics Docs Review Mat1272formulasheet Tables Pdf

Ratio Test Video Khan Academy
Bookdown Org Probability Solutions2

Convert It Into Factorial N 1 N 2 N 3 2n Brainly In

Java Basics Java Programming Tutorial
Tusd Learning Powerschool Com Eotis Thslibrary1 Cms File Show Pdf T

4 Convert The Following Products Into Factorials I 5 6 7 8 9 10

Convert Into Factorials N 1 N 2 N 3 2n Math Meritnation Com

Example 6 Show That Middle Term In Expansion Of 1 X 2n Is

111 Questions With Answers In Combinatorics Science Topic

Convert The Following Products Into Factorials I N 1 N 2 N 3 Ldots 2 N Ii 1 Cdot 3 Cdot 5 Cdot 7 Cdot 9 Ldots 2 N 1

Sums Sumatorias

Example 6 Show That Middle Term In Expansion Of 1 X 2n Is

Why Is N 1 N 1 N Quora

Ex 7 4 2 Determine N If I 2nc3 Nc3 12 1 Chapter 7
Teachingcenter Ufl Edu Files Exam 2 Review Problems Mac 2312 Pdf

Design And Analysis Of Algorithms

Convert The Following Products Into Factorials I 5 Cdot 6 Cdot 7 Cdot 8 Cdot 9 Cdot 10 Iii N 1 N 2 N 3 Dots 2 N Ii 3 Cdot 6 Cdot 9 Cdot 12 Cdot 15 Cdot 18

Example 12 Find Value Of N Np4 N 1p4 5 3 And Np5 42 Np3

Simplifying Factorials With Variables Chilimath
Triump Card Quadratic Equation Equations

If 2n 3 2n 3 A N D N 2 N 2 Are In The Ratio 44 3 Find Ndot Youtube

111 Questions With Answers In Combinatorics Science Topic

Python Program To Calculate Sum Of Series 1 2 3 N

How Does 2 4 6 2n Turn Into 2 N N In This Power Series Mathematics Stack Exchange

7 Proof By Induction 1 3 5 7 2n 1 N 2 Discrete Prove All N In N Induction Mathgotserved Youtube

Pdf Bivariate Identities For Values Of The Hurwitz Zeta Function Andsupercongruences Tatiana Hessami Pilehrood Academia Edu

Convert The Following Products Into Factorials 6 7 8 9
What Is The Solution To This Problem Find The Maximum Value Of N Such That 77 Is Perfectly Divisible By 7 N Quora

Solved Define The Double Factorial Of Nn Denoted N N Chegg Com
Stirling Numbers Of The Second Kind Wikipedia