X2yyey

Pdf Complete Solutions Differential Equations With Modeling Applications Differential Equations With Boundary Value Problems 5th Edition Juan Carlos Becerra Linares Academia Edu

Implicit Differentiation Advanced Example Video Khan Academy

Separable Differential Equation Example 2 Youtube

Calculus Problems Derivatives Implicit Differentiation Examples Youtube
2
Http Www2 Johnabbott Qc Ca Math Gr Cal C1ns C1 Impdf Pdf


Solved Solve The Initial Value Problem 2yy 3 Y 2 3 Chegg Com

Solved Solve 2yy E Y 2 X 2 2x Chegg Com
2
Www Math Ucdavis Edu Zekius W14mat21a Exams Pracfinalsol Pdf

Power Series Solution For Y 2y Y X Y 0 0 Y 0 1 Youtube

Ex 9 3 2 Form Differential Equation Y2 A B2 X2
Suppose A Dy Dx For The Curve X 2 Y 2 4 At 2 2 B Dy Dx Sarthaks Econnect Largest Online Education Community
2
Avesis Yildiz Edu Tr Resume Downloadfile Eyeni Key 575c6132 F3bb 49d5 9f9b 0aa5e003a4

Solved Problems 1 Solve The Following Equations A Yy Chegg Com

Solved Solve The Initial Value Problem 2yy 2 Y2 2x Chegg Com

Implicit And Logarithmic Differentiation

Ecuaciones Diferenciales Lineales De Primer Orden Y Aplicaciones Tema

1 Point Solve The Initial Value Problem 2yy 3y 3x With Y 0 4 A To Solve This We Homeworklib

Answered I Am Confused On This Problem Bartleby

Decomposition Of Ordinary Differential Equations Springerlink
Tutorial Ode 1718 Trims 2 Ordinary Differential Equation Rates
Http Users Math Msu Edu Users Holmesir M2552 Exam1 Rp Sol Pdf

The Solution Of The Differential Equation E X X 1 Dx Ye Y Xe X Dy 0 With Initial Cond Youtube
Solved Solve Using Separation Of Variables X 2yy E Y Chegg Com

Solved Solve 2yy E Y 2 X 2 2x Chegg Com
Http Users Math Msu Edu Users Holmesir M2552 Exam1 Rp Sol Pdf
2
Www Utdallas Edu Studentsuccess Files Differential Equations Book Math 24 Resources1 Pdf
Solve For Y 2yy 3 12y 3 9 3y Y 3 2y 3 Y 3 32
Http Www Bellevernonarea Net Cms Lib07 Pa Centricity Domain 175 Abcalc implicit differentiation and inverse trig worksheet solutions Pdf

Solucionarioecuacionesdiferencialesdenniszill7aedicion P

Solved Solve The Initial Value Problem 2yy 2 Y 2 2 Chegg Com

Chapter 04 2500 Solved Problems In Differential Equations Docsity
Www Ndsu Edu Pubweb Novozhil Teaching 266 data Lecture 5 Pdf
Webpages Uncc Edu Sjbirdso Calc i Fall13 Homework Hw 18 Key Pdf
Projecteuclid Org Download Pdf 1 Euclid Bams

Numerical Methods In Engineering With Python 3 Kiusalaas 11 02 21 Pages 301 350 Flip Pdf Download Fliphtml5
What Is The Solution Of This Equation Y Y Y 2 Yy E X Quora
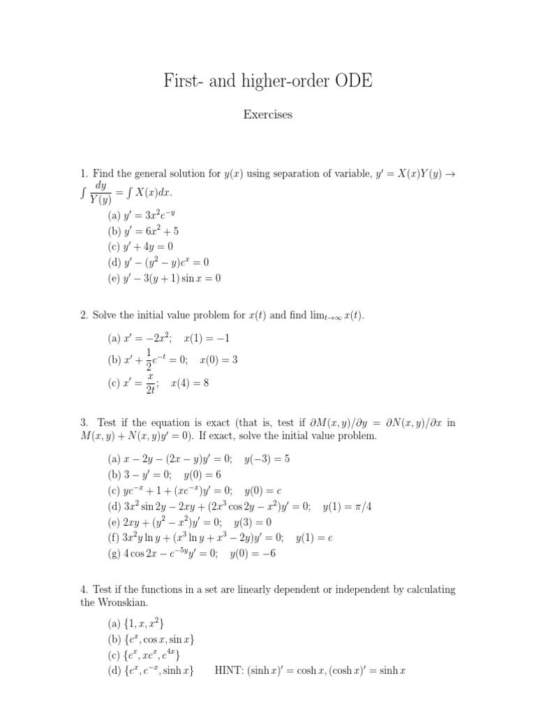
First And Higher Order Ode Exercises Algebra Analysis
Http Users Math Msu Edu Users Holmesir M2552 Exam1 Rp Sol Pdf

Differential Equations For Engineers
Http Users Math Msu Edu Users Holmesir M2552 Exam1 Rp Sol Pdf

Decomposition Of Ordinary Differential Equations Topic Of Research Paper In Physical Sciences Download Scholarly Article Pdf And Read For Free On Cyberleninka Open Science Hub

Verify Ax 2 By 2 1 Is Solution Of Differential Equation X Yy2 Y1

How Do You Implicitly Differentiate Y Y X Y 2 2x E X Y Socratic
2

Separable Differential Equations Example 3 2yy X Sqrt X 2 16 Old Videos Youtube

Misc 2 Verify Given Function Is A Solution Of Differential

Chapter 1 Maths 3

Differential Equation 1st Order Reducible To Separable Forms 2 Of 7 Example 1 2xyy Y 2 X 2 0 Youtube
Webpages Uncc Edu Sjbirdso Math 1241 Fall07 Hw sect 3 6 key Pdf

Solved Solve The Initial Value Problem For Y X X 2 Y Y Chegg Com
Calculus Org Zekius S16mat21a Hw Hw12 Pdf
Solved Find All Solutions Of The Differential Equations Chegg Com

Orthogonal Trajectory Wikipedia

Misc 2 Verify Given Function Is A Solution Of Differential

Answered I Am Confused On This Problem Bartleby

Answered I Am Confused On This Problem Bartleby
Webpages Uncc Edu Sjbirdso Calc i Fall13 Homework Hw 6 Key Pdf

Recognizing Types Of First Order Differential Equations E L Lady Pdf Free Download

2500 Solved Problems In Differential Equations 2500 Solved Problems In Differential Docsity

Numerical Methods Oridnary Differential Equations 1

Solved Olve The Initial Value Problem 2yy 2 Y 2 2x Ref Chegg Com

Separable Equations Example Old Video Khan Academy

Solving Separable Differential Equations Calculus Socratic
Solved In Problems 1 26 Solve The Given Differential Equa Chegg Com

Misc 3 Form Differential Equation X A 2 2y2 Miscellaneou
2
Solved Consider The Differential Equation 2yy E X 1 Chegg Com
2
Http Users Math Msu Edu Users Holmesir M2552 Exam1 Rp Sol Pdf
2

Solucionarioecuacionesdiferencialesdenniszill7aedicion P

Pdf Complete Solutions Manual A First Course In Differential Equations With Modeling Applications Ninth Edition Differential Equations With Boundary Vary Problems Seventh Edition Raul Flores Academia Edu
2

Differential Equation 1st Order Reducible To Separable Forms 5 Of 7 Example 4 X 2y X 2 Xy Y 2 Youtube

Ex 9 3 2 Form Differential Equation Y2 A B2 X2

Solved Problems Part9 Solve The Following Equations Probl Chegg Com

Ppt Drill Find Th E Derivative Of The Following Powerpoint Presentation Id

Solved 1 Point Solve The Initial Value Problem 2yy 3 Chegg Com

Implicit Differentiation
Avesis Yildiz Edu Tr Resume Downloadfile Eyeni Key 575c6132 F3bb 49d5 9f9b 0aa5e003a4

Solved Solve The Initial Value Problem 2yy 5 Y 2 5 Chegg Com

2500 Solved Problems In Differential Equations 2500 Solved Problems In Differential Docsity

Solved Find The Solution To The Differential Equation X 2 Chegg Com

Worked Example Identifying Separable Equations Video Khan Academy
Http 100 Org My Courses Univ Wisconsin Madison Fall 13 Ema 547 Engineering Analysis 1 Hws Hw1 Hw1 Solution Pdf

Implicit And Logarithmic Differentiation

Durcise Jm The Differential Equation Which Represents The Family

Numerical Methods Oridnary Differential Equations 1
2

Solucionarioecuacionesdiferencialesdenniszill7aedicion P

1 Point Solve The Initial Value Problem 2yy 3y 3x With Y 0 4 A To Solve This We Homeworklib

Find Particular Solution Of Y E Y Dx Show That X Y Dy X 2y

Solucionarioecuacionesdiferencialesdenniszill7aedicion P
Avesis Yildiz Edu Tr Resume Downloadfile Eyeni Key 575c6132 F3bb 49d5 9f9b 0aa5e003a4
Www3 Nd Edu Apilking Math Work Old exams Exam2f07solutions Pdf

2 Integrating Both Sides Pdf Free Download