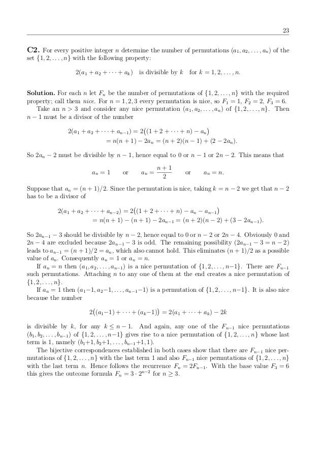
Nn+1n+2n+3 Is Divisible By 24
Q Tbn 3aand9gcs53ipdqfrval9pwwsduowjdybgxi5nt8amsns2x4tuye 2lj9l Usqp Cau
Solved Theorem 42 Ifn Is A Natural Number Then N N 1 N Chegg Com

Mathematical Induction Prove That 7 N 3 N Is Divisible By 4 Youtube

Prove The Following By Using The Principle Of Mathematical Induction For All N N 1 3 2 3 3 3 N 3 N N 1 2 2

Prove That N 3 N Is Divisible By 6 Youtube

If N Is A Prime Number Greater Than 5 Then Prove That N 4 1 Is Divisible By 240 Find 3 Answers Solutions Learnpick Resources
3 | 2^2n - 1 Prove A(n+1) if div by 3.

Nn+1n+2n+3 is divisible by 24. New questions in Math. Prove that n(n+1)(n+2)(n+3) is divisible by 24 by PMI (Principle of Mathematical Induction). Assuming the statement is true for n = k:.
24 = 3*(2^3) St 1:. 11^(n + 3) + 12^(2n + 3) is divisible by 133 if 11^(n + 2) + 12^(2n + 1) is divisible by 133. Jun 11 7.
Please solve this problem. $\endgroup$ – user May 17 '15 at 18:07. 2^(1+2)+3^(2+1) = 8 + 27 = 35 = 5· 7.
If this is true, what can we conclude about n = m+1?. (WITHOUT using induction, we have yet to get to induction so I figure it would be wise to do this without it.) Homework Equations /B The section we were given this under primarily talks about the quotient remainder theorem (n = dq+r) though I couldn't figure out how to apply this either. Answered Prove that n(n+1)(n+2) is divisible by 6 1.
Interested in n=… Get the answers you need, now!. Sometimes the statement P(n) may be about not all n 2N, but a subset of N. N 4 +10n 3 +35n 2 +50n-336.
I.e 3 | 2^2(n+1) - 1 Show that A(n+1) - A(n) is divisible by 3. By the definition of divisible, n is then divisible by 4. As 4 is a square number and `mu(n) = 0` if n has a factor that is a square one of the.
Most commonly, it is used to prove a statement, involving, say n where n represents the set of all natural numbers. 2) Assuming that the statement is true for n = k, the statement is ALSO true for n = k+ 1. For n = 1, the statement reduces to 1 = 1 2 3 6 and is obviously true.
In general, mathematical induction can be used to prove statements that assert that P(n) is true for all positive integers n, where P(n) is a propositional function. A man on 2500 rupees in 1 month and how much will I earn in 6 days. Here only n+4 is divisible by 3.
For all n 2N;. Well, this gives us 1 * 2, which is certainly divisible by 2 Assume true for n = m:. A) The statement P(n) is true for all nonnegative integers n that.
Question 13 Show that exactly one of the numbers n, n + 2 or n + 4 is divisible by 3. Induction method is used to prove a statement. If n is a natural number, then n(n+1)(n+2)(n+3) is divisible by 24.
Discussion In Example 3.4.1, the predicate, P(n), is 5n+5 n2, and the universe of discourse is the set of integers n 6. The Beat The GMAT Forum - Expert GMAT Help & MBA Admissions Advice. Thus one and only one out of n , n+2, n+4 is divisible by 3.
If 11^(n + 2) + 12^(2n + 1) is divisible by 133, then for some integer k:. 1 of 2 Go to page. Theory As per Euclid’s Division Lemma If a and b are 2 positive integers, then a = bq + r where 0 ≤ r < b If b = 3, a = 3q + r where 0 ≤ r < 3 So, r = 0, 1, 2 ∴ Numbers = 3q + 0, 3q + 1, 3q + 2 Let’s assume n = 3q, 3q + 1, 3q + 2 Now, we check whether n, n + 2, n + 4 is divisible by 3 If.
This means that m*(m+1) is assumed to be d. Prove n(n+1)(n+2) is divisible by 6 for all integers n. Hence, it is solved.
Example 3 1) Prove that 3*5^(2n+1) + 2^(3n+1) is divisible by 17. So by PMI P(n) is true for all n i.e n(n+1)(2n+1) is divisible by 6. Enjoy the videos and music you love, upload original content, and share it all with friends, family, and the world on YouTube.
1.2.3 + 2.3.4 + … + n(n+1)(n+2). P n 1 k = n(n+1) 2. Polynomial Long Division :.
(7) we will prove that the statement must be true for n. So just plug k into anywhere there is an n. If n is divisible by 4, then n = 4k for some integer k and n(n+2) = 4k(4k+2) = 8k(2k+1) is divisible by 8 and therefore so is the product of the four consecutive integers starting with 4.
S_n = 1.2.3 + 2.3.4+ 3.4.5 +. 1 Questions & Answers Place. I have tried, let mathematical induction, let P(n) be the statement, then then n^9 - n is divisible by 9.
If P | X and p | X-Y, then P | Y) In this case:. For all non-negative integers n, if P(n) is true then P(n+ 2) and P(n+ 3) are true. Find the class marks of classes 10-25 and 35-5 dx(i) EvaluateI3 cos x + 4 sin x + 6 the centre of the circle having end points of it's one diameter as Vadiya arsh ji tusi dasso???.
To show that the inductive step holds, we need to show that:. 2^(m+3) + 3^(2m+3) = 2·2^(m+2) + 9. Then I assumed that the original statement "11^(n+1)+12^(2n-1)is divisible by 133".
Induction, the given statement is true for every positive integer n. Show that one and only one out of n, n+1 and n+2 is divisible by 3, where n is any positive integer. New questions in Math.
HENCE IT IS JUSTIFIED THAT ONE AND ONLY ONE AMONG n,n+2,n+4 IS DIVISIBLE BY 3 IN EACH CASE. KhushiMidha KhushiMidha 07.07.18 Math Secondary School +5 pts. Start date Jun 6, 11;.
1 + 3 + 6 + 10 + + k(k + 1) 2 = k(k + 1)(k + 2) 6;. I'm not exactly sure how to complete this step. -- WIN #4 WIN $1,000.000.00 GWY.
N is not divisible by 3 which means either (n-1) or (n+1) is divisible by 3, because if there are 3 consecutive numbers then one of the numbers is divisible by 3. This is evident for the second sum-. For all n>1 or n=1 Homework Equations The Attempt at a Solution I have shown that the base case of n=1 holds.
(n)(n+1)(n+2) is divisible by 24 if n is even - proof. N(n+1)(n+2)(n+3) =(4q+3)((4q+3)+1)((4q+3)+2)((4q+3)+3) =(4q+3)(4q+4)(4q+5)(4q+6) =(4q+3).2(2q+2).(4q+5).2(2q+3) =4(4q+3)(2q+2)(4q+5)(2q+3) =4((4q+3)(2q+2)(4q+5)(2q+3)) Since the sum/product of. Now for any number n, one of the four consecutive numbers n, (n+1), (n+2) or (n+3) will be divisible by 4.
Prove true for n=k+1. Rewrite the polynomial splitting the middle term using the two factors found in step 2 above, 1 and 2 n 2 + 1n + 2n + 2 Step-4 :. Similarly, if n = 4k + 2.
In this case, we need to prove that n (n+1) (n+2) (n+ 3) is divisible by 24. For n = 1, we get 2^3 + 3^3 = 8 + 27 = 35;. Now let n = m be divisible by 7.
Click here 👆 to get an answer to your question ️ prove that n(n+1)(n+2) is divisible by 6 1. Homework Statement Prove by Induction the 11^(n+1)+12^(2n-1) is visible by 133. N is odd That means (n-1) and (n+1) are even 48*50 when divided by 24 the remainder is 0 26*28 when divided by 24 the remainder is not 0 Insuff St 2:.
Let's Study Coaching Center 569 views. If n = 4k + 1, then (n+ 1)(n+ 3) = (4k + 2)(4k + 4) = 8(k + 1)(k + 1) is divisible by 4 and therefore so is n(n+ 1)(n+ 2)(n+ 3). 1 + 3 + 6 + 10 + + n(n+ 1) 2 = n(n+ 1)(n+ 2) 6 Proof:.
In this 1.2.3 represent the first term and 2.3.4 represent the second term. A GMAT and MBA community featuring expert advice, free GMAT prep material, and scholarships for members. Prove that the difference between consecutive expressions is divisible by P.
N(n+1)(n+2) is divisible by 6 for all nEN. 4.2 Polynomial Long Division Dividing :. Here only n+2 is divisible by 3.
Epic Collection of Mathematical Induction :. + n(n+1)(n+2) " " = sum_(r=1)^n r(r+1)(r+2) " " = sum_(r=1)^n r(r^2+3r+2) " " = sum_(r=1)^n (r^3+3r^2+2r) " " = sum_(r=1. For all n 2Z;n 3;n2 3n.
It is easy to check that the. Two, we assume that it is true for n=k and prove that if it is true for n=k, then it is also true for n=k+1. Please prove the following:.
For n = 0, this reduces to 11^2 + 12^1 = 133, which is divisible by 133. For all non-negative integers n, if P(n) and P(n+ 1) are true then P(n+ 2) is true. 2^2(n+1) - 1 - (2^2n - 1) = 2^2n+2 - 2^2n = 2^2n(2^2 - 1) = 2.
University Math / Homework Help. N(n+1)(n+2) divise 3 démonstration cas par cas دروس الجذع مشترك :. $2^{n+2}+3^{2n+1}\equiv 4\cdot 2^n + 3\cdot 9^n\equiv 4\cdot 2^n+3\cdot 2^n\equiv 7\cdot 2^n\equiv 0\pmod{\!.
Induction method involves two steps, One, that the statement is true for n=1 and say n=2. New questions in Math) Which of the following is a pair of twin primes?(a) 137, 139(b) 139, 141(c) 141, 143(d) 147, 149 what is the answer to division problem is called. What team des david wali.
D) P(0) is true;. Add up the first 2 terms, pulling out like factors :. Can i get infinity coins on literacy planet I want to enter and claim 1,000,000 gwy #1WIN $15,000.00 MONEY CRAZE EVENT GWY.
N(n+1)(n+2)(n+3) is divisible by 24 Find answers now!. Assume true for n=k. Test for n = 1:.
This means 2^(m+2) + 3^(2m+1) = 7·N, where N is a positive integer. Question This question is from textbook Intro to Real Analysis:. Prove that n^3 + (n+1)^3 + (n+2)^3 is divisible by 9 for all n in Natural numbers.
Find the sum up to n terms of the series:. For n = 1 it is true. Now suppose it is true for n > 1.
The right hand is divisible by 3. MATHEMATICAL INDUCTION Which shows 5(n+ 1) + 5 (n+ 1)2.By the principle of mathematical induction it follows that 5n+ 5 n2 for all integers n 6. $\begingroup$ Without explicit induction:.
Our solution is simple, and easy to understand, so don`t hesitate to use it as a solution of your homework. If it's not what You are looking for type in the equation solver your own equation and let us solve it. That is, (∀n ∈ Z)24|n(n + 1)(n + 2)(n + 3) If n is an integer, then n(n + 1)(n + 2)(n + 3) is divisible by 24.
30 1.2.3 + 2.3.4 = 6 + 24 = 30 Input :. Case 4 r = 3 n = 4q+r = 4q+3 We are interested in the product of the four consecutive integers:. Thanks This question is from textbook Intro to Real Analysis Found 2 solutions by aaaaaaaa, mathslover:.
A(n) = 2^2n - 1 Assume A(n) is div by 3. This shows that the base case is true. 2^(n+2)+3^(2n+1) = 7k for some integer k.
The Factor Theorem states that if P/Q is root of a polynomial then this polynomial can be divided by q*x-p Note that q and p originate from P/Q reduced to its lowest terms In our case this means that n 4 +10n 3 +35n 2 +50n-336 can be divided by 2 different polynomials,including by n-2. 2^(n+2)+3^(2n+1) is divisible by 7 that is.

How To Prove Math N 5 N Math Is Divisible By Math 5 Math Quora

Example 6 Prove That 2 7n 3 5n 5 Is Divisible By 24

Prove That The Product Of Three Consecutive Positive Integer Is Divisible By 6 Asap Give Correct Ans Brainly In

N N 2 1 Is Divisible By 24 If N Is An Odd Positive Number Youtube

Ncert Solutions For Class 9 10 11 And 12 Prove The Following By Using The Principle Of Mathematical Induction For All N N

Solved Product N K 2 1 1 K 2 1 1 2 2 1 3 2 Chegg Com

Rd Sharma Solutions For Class 11 Chapter 12 Mathematical Induction Download Free Pdf
Prove That 7 2n 2 3n 3 3 N 1 Is Divisible By 25 For Any Natural Number N Sarthaks Econnect Largest Online Education Community

Solved 1 Prove By Mathematical Induction 3i 1 I 1 1 24 Chegg Com

Prove That 5 N 2 3 N 1 1 Is Divisible By 8 By P M I Brainly In

Example 6 Prove That 2 7n 3 5n 5 Is Divisible By 24
Http Www Mr Ideahamster Com Classes Discrete Hwkepp4th Eppex4th05 03 Pdf

Solved 1 Prove That N5 N Is Divisible By 5 For All Int Chegg Com

How Does One Mathematically Prove That Math N 2 1 Math Is Divisible By 8 So Long As Math N Math Is An Odd Integer Is This Sufficient As A Mathematical Proof Quora

Practice Problems Induction Recursion And Relations Studocu

Pls Solve Q 28 19 53 1 Is Divisible By 24 For All N E N 32n 7 Math Principle Of Mathematical Induction Meritnation Com

Solved 3 Use Induction To Prove That For N 1 2 22 23 Chegg Com
Http Www Math Fsu Edu Wooland Mad2104 Proof Pf16 Pdf

How To Prove Math N 5 N Math Is Divisible By Math 5 Math Quora

Q1 Show That One And Only One Out Of N N 4 N 8 N 12 And N 6 Is Divisible By 5 Where N Is Any Brainly In
Www Topperlearning Com Answer Show That One And Only One Out Of N N 2 And N 4 Is Divisible By 3 Where N Is Any Positive Integer Q0ltvo

Example 6 Prove That 2 7n 3 5n 5 Is Divisible By 24

Ncert Solutions For Class 9 10 11 And 12 Prove The Following By Using The Principle Of Mathematical Induction For All N N

Mathematics Notes
Pdf4pro Com File 9d4d2 257ethomas Courses Texts1 21 Pdf Pdf

Ex 4 1 19 Prove N N 1 N 5 Is A Multiple Of 3
2 7 N 3 5 N 5 Is Divisible By 24 For All N N Sarthaks Econnect Largest Online Education Community

1 Solutions To Assignment 2 Due May 24
Www Maths Ox Ac Uk System Files Attachments Induction 0 Pdf

Show That Exactly One Of Numbers N N 2 Or N 4 Is Divisible By 3
Q Tbn 3aand9gcs05saqpr Iv7ljw9g0xm01vigv2 Nvakui3ommgbj7sg7mzpxh Usqp Cau
.png)
2 7power N 3 5 Power N 5 Is Divisible By 24 Math Principle Of Mathematical Induction Meritnation Com

Example 6 Prove That 2 7n 3 5n 5 Is Divisible By 24
Http Www Lehigh Edu Dmd1 Hstest10 Pdf

Imo 08

Show That Exactly One Of Numbers N N 2 Or N 4 Is Divisible By 3
Cube Algebra Wikipedia
Solved Theorem 42 Ifn Is A Natural Number Then N N 1 N Chegg Com

Sums Sumatorias
Chapter 1 Real Numbers Rd Sharma Solutions For Class 9 Mathematics Maharashtra Topperlearning

Ex 4 1 22 Prove 32n 2 8n 9 Is Divisble By 8 Chapter 4

Discrete Mathematics Lecture 4 Induction And Recursion Ppt Download
Web Calpoly Edu Brichert Teaching Oldclass W Solutions Solutions2 Pdf

Divisibility Via Induction 8 N Mid 4n Mathematics Stack Exchange

Prove That N 2 N In Divisible By 2 For Any Positive Length N
How To Prove By Induction That Math 2 N 2 3 2n 1 Math Is Divisible By 7 Quora

2 Mathematical Induction 2 2 2 2 3 2 N 2 2 N 1 Proof 5 N 2 N Div By 3 Discrete Mathgotserved Youtube

Imo08 Sl

For Any Positive Integer N Prove That N 3 N Is Divisible By 6 Brainly In

Solved 1 Prove That N5 N Is Divisible By 5 For All Int Chegg Com

For Any Positive Integer N Prove That N N Is Divisible By 6 Youtube

N N 2 1 Is Divisible By 24 If N Is An Odd Positive Number Youtube
People Wou Edu Kruczekk Courses Math 355 F09 Hwweek1 Solutions Pdf
2
Prove That 2 7 N 3 5 N 5 Is Divisible By 24 For All N N
How To Prove That There Are No Numbers N 3 Such That N N 2 And N 4 Are Prime Numbers Quora

Proof That N 3 N Is Divisible By 3 Using Mathematical Induction Youtube

Prove That 2 7 N 3 5 N 5 Is Divisible By 24 For All N Belongs To N This Que Math Principle Of Mathematical Induction Meritnation Com
Number Theory Prime Number Integer

Ples Slove 24 No 13 15 16 17 12 32 52 Math Principle Of Mathematical Induction Meritnation Com

Prove That 2 7 N 3 5 N 5 Is Divisible By 24 For All N Belongs To N Brainly In
Q Tbn 3aand9gcqnjt Svbbhtrgeuf8lvfueu7ttzvuwdv2axjaxm31sw9yszwf Usqp Cau

Mathematics Notes

Prove Using Mathematical Induction That 2 3n 3 N Is Divisible By 5 For All N 1 Mathematics Stack Exchange

Discrete Structures Chapter 2 Part B Mathematical Induction Ppt Video Online Download

Answered A N N 1 N 2 Is Divisible By 6 B Bartleby

Using Mathematical Induction To Prove 2 3n 3 N Is Divisible By 5 Youtube

Solved Pls Write The Question Number And The Solution To Chegg Com

For Any Positive Integer N Prove That N3 N Is Divisible By 6 Brainly In

Ncert Solutions For Class 9 10 11 And 12 Prove The Following By Using The Principle Of Mathematical Induction For All N N
2
Practice Problems Induction Recursion And Relations 1 Algebra Discrete Mathematics
Http Cs Ioc Ee Silvio 18 Itb Exercises11 Pdf
N2 1 Is Divisible By 8 If N Is Studyrankersonline

Show That Exactly One Of Numbers N N 2 Or N 4 Is Divisible By 3

Proof Of N N 2 5 Is Divisible By 6 For All Integer N Ge 1 By Mathematical Induction Mathematics Stack Exchange
Www Qc Edu Hk Math Resource Al Mathematical induction exercise Pdf

Mathematics Ppt Video Online Download
Q Tbn 3aand9gct7xbeaskascpbr3hsuqvvgpei2q1cwno6t5ooqtaqdutfws6rp Usqp Cau
How To Prove That For Any Positive Integer Math N Math Math N 3 N Math Is Divisible By Math 6 Math Quora

Problems On Algorithms

Mathematics Ppt Video Online Download

N 2 1 Is Divisible By 8 If N Is A An Integer B A Natural Number C An Odd Integer D An Youtube

Program For Factorial Of A Number Geeksforgeeks

Ncert Solutions For Class 9 10 11 And 12 Prove The Following By Using The Principle Of Mathematical Induction For All N N
How To Prove That 4 N 15n 1 0 Mod 9 Quora

Pdfsam Mergemh1 Pages 101 150 Flip Pdf Download Fliphtml5

Notes For Number Theory
Faulhaber S Formula Wikipedia

Prove That 5 2n 1 3 2n 1 2 2n 1 Is Divisible By 15 For N In Mathbb N Mathematics Stack Exchange

Show That Only One Of The Numbers N N 2 And N 4 Is Divisible By 3 Youtube

19 Prove Induction N 3 N Is Divisible By 3 Mathgotserved Mathematical Precalculus Discrete Princ Youtube

Solved 11 Prove By Mathematical Induction 13 23 33 N Chegg Com

7 2n 2 3n 3 3 N 1 Is Divisible By 25 Youtube

Ncert Solutions For Class 9 10 11 And 12 Prove The Following By Using The Principle Of Mathematical Induction For All N N

How Can Using Mathematical Induction Prove That 21 Divides Math 4 N 1 5 2n 1 Math Quora

Prove That N 3 N Is Divisible By 6 Euclid Division Lemma Youtube
Http Www Math Psu Edu Wysocki M312 Sol1 Pdf