11+xa B + 11+xb A

Solved 1 Let A 1 2 3 4 And B A B C D Determine Whic Chegg Com
Http Www Math Utk Edu Denzler M351 Fa13 351sol14 18 Pdf

Section 3 3 Question 1 Math Faq

Math 223 Assignment 1 2 Pages X 1

Solved 1 T F The Product Pa Where A Is A 3 X 3 Matrix Chegg Com

Show That X 1 A B 1 A C X 1 B C 1 B A X 1 C A 1 C B Brainly In


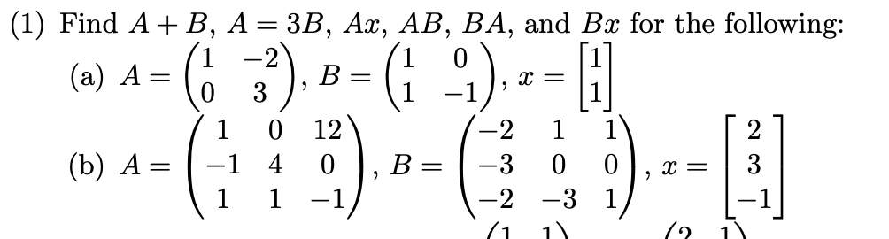
Solved 1 X 1 Find A B A 3b Ax Ab Ba And Chegg Com
Icsepapers Prove That 1 1 X A B 1 1 X B A 1

1 1 X A B 1 1 X B A 1 Follownunulis Iuiu Cuestion113 Sh
Solved If A Notequalto B And 1 X 1 A 1 B Then X A Chegg Com

Solve For X 1 A B X 1 A 1 B 1 X With Video Teachoo

Ar A B 4 A 4 B A B 4 A 4 B N X X 2 Y 2 1 Y 2 1 X 2 N3 Subtract N I 5 Y 2 From Y 2 N Ii Gry From 12 X Y N Iii
Prove That 1 1 X A B 1 1 X B A 1 Sarthaks Econnect Largest Online Education Community

1 1 X A B 1 1 X B A 1 Prove Brainly In

If A 1 And B 2 Find 1 Ab Ba Ii Ab Ba Iii Ab X Ba Iv Ab Ba

Example 3 Let A 1 1 4 2 2 3 5 2 37 And B 4 5 2 1 Find Ab And Ba And Show That Abba

A B A B 1 2 2a Sqrt A 2 B 2 B 2 Ab 1 1 2 X

Prove That 1 1 X B A X C A 1 1 X A B X C B 1 1 X B C X A C With Full Explanation Brainly In

Show That 1 1 X A B 1 X B A 1 Stion Numbers 13 To 22 Carry 3 Mark 1 1 Show That Ba A The Math Number Systems Meritnation Com
Solved The Sizes Of Two Matrices A And B Are Given Find Chegg Com

X 1 A B 1 A C Xx X 1 B C 1 B A Xx X 1 C A 1 C B Youtube

Prove That A 2 1 B 0 3 And C 2 1 Are The Above Vertices Of An Isoceles Right Triangle Hence Find The Coordinates Of A Point D If Abcd Is A Square

1 2 2 4 3 1 4 3 The Roots Of B C X2 C A X A B Are 2 10 I 1 1 2 1 A C B C 3 1 A B 4 1 B A 4 B C 3 B C 34 Neo Se

1 1 X B A X C A 1 1 X A B X C B 1 1 X A C X B C Equals Youtube

Integration 1 X And 1 Ax B Types Examsolutions Youtube
2

Show That 1 1 X B A X C A 1 1 X A B X C B 1 1 X

Qquad X 4a Times X 4b Times X 4c Ple 10 Show That Qquad 1

1 X A B 1 A C 1 X B C 1 B A 1 X C A 1 C B Math Number System Meritnation Com

Show That 1 1 X A B 1 1 X B A 1 Brainly In

Prove That 1 1 X B A X Mathematics Topperlearning Com

Example 25 Verify Ab 1 B 1 A 1 If A 2 3 1 4 Examples

Ii Frac 1 1 X A B Frac 1 1 X B A 1

1 2 2 4 3 1 4 3 The Roots Of B C X2 C A X A B Are 2 10 I 1 1 2 1 A C B C 3 1 A B 4 1 B A 4 B C 3 B C 34 Neo Se

Solved 4 And Let B 2 3 5 Let A 1 A Calculate B A Chegg Com

1 1 X A B 1 1 X B A Brainly In
How To Prove That X 4 X 1 I X 1 I X 1 I X 1 I Quora

1 1 X A B 1 1 X B A Brainly In

1 X A B 1 A C 1 X B C 1 B A 1 X C A 1 C B Simplify Plz Ans Brainly In

Show That I 1 1 X A B 1 1 X
Http Www Math Uchicago Edu Swan Expo Morse Pdf

3 Let A And B Be Two N N Orthogonal Matrices Then Prove That Ab And Ba Are Both Orthogonal Matrices Prove A Similar Result For Unitary Matrices Pdf Free Download
2

Solved Exercises 2 1 Prove The Following Statements 1 G Chegg Com

Solved Find The Order Of The Matrix Product Ab And The Pr Chegg Com
2

Show That 1 1 Xa B 1 1 Xb A 1 Brainly In

1 1 X A B 1 1 X B A 1 Brainly In

If The Points A 2 1 B A B C 4 1 Are Collinear And A B 1 Find The Value Of A And B Brainly In
Http Citeseerx Ist Psu Edu Viewdoc Download Jsessionid Ffc4ebd2efab350efec9 Doi 10 1 1 604 7677 Rep Rep1 Type Pdf

Solve 1 A B X 1 A 1 B 1 X Youtube

Book Linear
Http Www Math Colostate Edu Clayton Teaching M215s10 Homework Hw2solutions Pdf
Prove That 1 1 X B A X C A 1 1 X A B X C B 1 1 X B C X A C Sarthaks Econnect Largest Online Education Community

Solved A In E B D 5 0 1 0 1 10 14 Given A 10 1 1 And Chegg Com
If A X B Y C Z And B 2 Ac Then What Is The Value Of Y Quora

Plz Explain This One X1 A B 1 A C X1 B C 1 B A X1 C A 1 C B Math Number Systems Meritnation Com

Prove That 1 1 X A B 1 1 X B A 1 Math Number Systems Meritnation Com

X A X B 1 C Then X
Http Www Dunblanehighschool Org Uk Maths Wp Content Uploads 16 03 3d Geometry Pdf

Prove That 1 1 X B A X C A 1 1 X A B X C B 1 1 X A C X B C 1 Math Polynomials Meritnation Com
Show That 1 1 Xa B 1 1 Xb A 1 Polynomials Maths Class 9

Prove That 1 1 X B A X C A 1 1 X A B X C B 1 1 X B C X A C 1 Youtube

Multiplicative Inverse For Numbers Ax 1 X 1 A X A 1 Xa 1 What
2

Solve 1 A B X 1 A 1 B 1 X Youtube

If Y 1 1 X A B X C B 1 1 X B C X A C 1 1 X B

Find X In Terms Of A B And C A X A B X B C X C 2c X C X A X B X C Youtube

E 7 If Log Ab X Then Log Ab Is Equal To A C X 1 X

Prove That 1 1 X B A X C A 1 1 X A B X C B 1 1 X A C X B C 1 Brainly In
Www Studocu Com Vn Document Shanghai Jiao Tong University E9 Ab 98 E7 Ad E6 95 B0 E5 Ad A6 A Other Eigenvalues Of Ab And Ba View

Matrix Algebra Some Basic Matrix Laws Before Reading The Text Or The Following Notes Glance At The Following List Of Basic Matrix Algebra Laws Pdf Free Download

Q 12 11 X B A X C A 11 X A B X C B 1 X B C X A C 2

Solved 1 1 X 1 Find A B A 3b Ax Ab Ba Chegg Com

Solved 1 2 1 1 1 2 0 1 1 1 B 0 1 And X A 0 2 0 C Chegg Com

1 1 X A B X A C 1 1 X B C X B A 1 1 X C A X C B 1 Youtube
Solved 3 The Sizes Of Two Matrices A And B Are Given Fi Chegg Com
Solved 12 A Is 2 X 1 B Is 1 X 1 A Ab Is 2 1 Ba Is U Chegg Com

X A B 1 A C X 1 B C 1 B A X 1 C 2 1 C
2

4 Prove That 1 1 X A B 1 1 X B A 1 Prove That Brainly In

Given 1 And Ax By 1 Are Two Variable Lines A B A And B Being The Parameters Connected By The Relation A B2 Ab The

Solved I Using Matrices A And B Defined Below A Evalu Chegg Com

How To Simpify Combining Like Terms 3a 2b Ab A B Ab 3ab B A 5x 2y 5x 2 3yx 2 X 2 Y 2 8xy 2 3y 2 T 8tz 3tz Z Z T Mathematics Topperlearning Com Urxbrsoo

Ex 3 3 5 Verify That Ab B A Where I A 1 4 3

Show That 1 1 X A B 1 1 X B A 1 Brainly In

Prove Ab 1 B 1a 1 On Vimeo
2

Solve Forx And Y 3 A B X Y 2 A B X Y 1 8 A B X Y 7 B A X Y 1 1 Ay Bx 122 307 B 8 A B X B A 1 Y Math Pair Of Linear Equations In Two Variables

Prove Tht1 1 X Power B A X Power C A 1 1 X To The Power A B X Math Number Systems Meritnation Com
Show That 1 1 X A B 1 1 X B A 1 Sarthaks Econnect Largest Online Education Community

Q 1 Prove That 1 1 X A B 1 1 X B A K Q 2 Find The Remainder By Long Division Method P X X 4 2x 2 2x 2 3x 2 X 1 Is Divided Math Polynomials Meritnation Com

How To Solve 1 1 X A B 1 1 X B A Quora

Solve For X 1 A B X 1 A 1 B 1 X With Video Teachoo

Chapter 1 Soluciones Mates Ii Docsity

Solved Q 1 Answer Each Of The Following As True Or False Chegg Com

Example Quiz2 213 Math 213 Honours Linear Algebra 1 Studocu

Find The Order Of Ab And Ba If A Aij 4 3 B Bij 3 2

Vector Notation Ab Represents The Vector From Point A To Point B On A Graph The Vector Can Be Computed By B A Pdf Free Download

Prove That 1 X A B 1 A C 1 X B C 1 B A 1 X C A 1 C B 1 Math Number Systems Meritnation Com