E X2+y2 Double Integral

Sample Practice Exam 16 Questions And Answers Math 2423 Studocu

Evaluate The Given Integral By Changing To Polar Coordinates Double Integral E X 2 Y 2 Da Where D Is The Region That Lies To The Left Of The Y Axis Between The Circles X 2 Y 2
2

Calculus Iii Double Integrals Over General Regions
2
Q Tbn 3aand9gcs54znc Ibkhlkkf Qg4sxudaoz2o3qvotbk4vh B0twk4cwwsr Usqp Cau
Double Integrals Over General Regions Page 2

Btech Ii Engineering Mathematics Unit3

Calculate The Double Integral Iint R X Y 2 E X 2 Y 2 Dx Dy Where R Is The Square With Vertices 6 0 0 6 6 0 0 6 Study Com

How To Calculate Indefinite Integral Of Math E X 2 Math Quora
Gaussian Integral Wikipedia Republished Wiki 2
Double Integrals Over General Regions Page 2
Search Q Integration By Parts Tbm Isch

Btech Ii Engineering Mathematics Unit3

Double Integration

Examples Of Changing The Order Of Integration In Double Integrals Math Insight

Double Integration

Btech Ii Engineering Mathematics Unit3

Btech Ii Engineering Mathematics Unit3

Double Integral Of Y 2 E X 4 Learnmathsfree Youtube

Evaluating Double Integrals

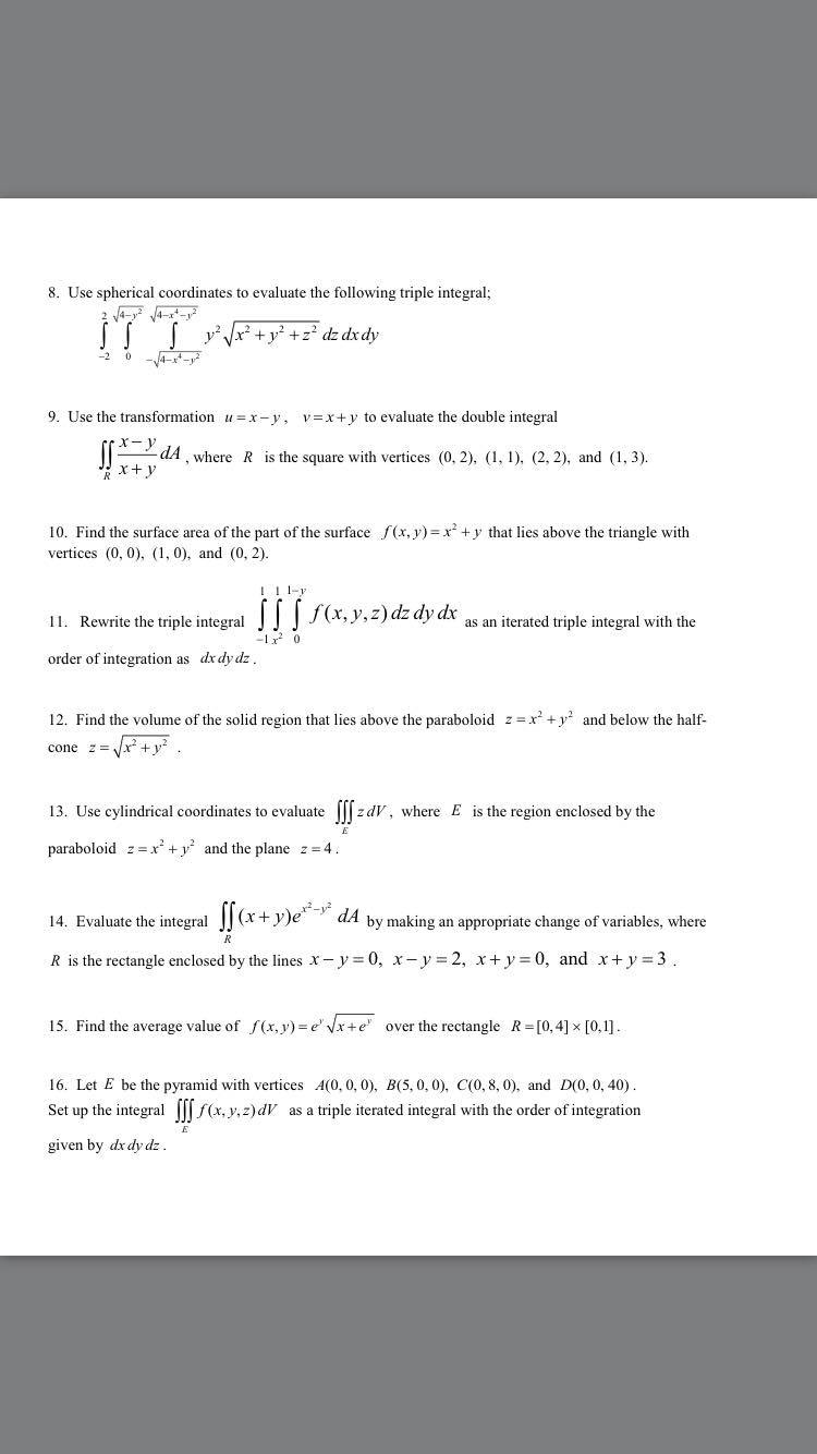
Solved 8 Use Spherical Coordinates To Evaluate The Follo Chegg Com

Answered Set Up Double Integrals To Compute The Bartleby

Solved Consider The Improper Double Integral Integral I Chegg Com

Exam 2 Spring 16 Questions And Answers As 110 2 Studocu
Q Tbn 3aand9gcqzig6iac Hk4dzxiszjubatcbmlvgvarvzz51v8tkvhdaekgkk Usqp Cau

Solved Compute The Following Double Integrals Sketch The Chegg Com

Gaussian Integral Wikipedia
Solved Evaluate The Double Integral Integral Integral D E Chegg Com
Gaussian Integral Wikipedia Republished Wiki 2
Ocw Mit Edu Resources Res 18 001 Calculus Online Textbook Spring 05 Textbook Mitres 18 001 Strang Pdf

Solved Evaluate The Double Integral E X 2 Y 2 Da Where Chegg Com

2 Evaluate The Given Integral By Changing To Pola Chegg Com

Double Integral Examples Math Insight

Btech Ii Engineering Mathematics Unit3

Solved Question 2 5 Points Compute The Double Integral Chegg Com
Gaussian Integral Wikipedia

How To Calculate Indefinite Integral Of Math E X 2 Math Quora

Integral Of Exp X 2 Mit 18 02sc Multivariable Calculus Fall 10 Youtube

Answered In 7 Sovle V 2 Sin 2 E 1 Bartleby
Double Integrals Over General Regions Page 2

Btech Ii Engineering Mathematics Unit3

Evaluate The Double Integral Of Exp X 2 Y 2 Where The Solid Is The Half Circle Given By X 2 Y 2 4 And X Y 0 Mathematics Stack Exchange
Solved Use Polar Coordinates To Evaluate The Double Integ Chegg Com
5 3 Double Integrals In Polar Coordinates Calculus Volume 3 Openstax

Solved Consider The Double Integral E Y 2 Dydx Sketch Th Chegg Com

Computing Integrals Springerlink

Integral Of Exp X 2 Gaussian Integral Trick Youtube
Double Integral Change Of Variables The Student Room

10 Problem Of Change Of Order Of Integration Double Integral X E X 2 Y Dxdy And E Y Y Youtube

Evaluate A Double Integral Over A General Region With Substitution F X Y E X Y Youtube

Btech Ii Engineering Mathematics Unit3

How To Integrate Xe X 2 Youtube
2

Btech Ii Engineering Mathematics Unit3

Solving Double And Triple Definite Integrals Mathematics Stack Exchange
2

Evaluate A Double Integral Over A General Region With Substitution F X Y E X Y Youtube
Solved Calculate The Double Integral Doubleintegral R Sin Chegg Com

Double Integral Why Didn T The Author Substitute Y 4 Into X Sqrt Y Mathematics Stack Exchange

Evaluate The Integral Double Integral R E Max X 2 Y 2 Da Where R 0 1 Times 0 1 And Max X 2 Y 2 Gives The Larger Of X 2 And Y 2 Study Com

Double Integration

Double Integrals Over General Regions Double Integrals Over General Regions Type I Double Integrals Over General Regions Are Evaluated As Iterated Integrals Ppt Download

5 Double Integrals Over Rectangular Regions Pdf Free Download
Web Northeastern Edu He Wang Teaching Teachingnotes Calculus3 Handout15 6 Pdf
Evaluate The Given Integral By Changing To Polar Coordinates Double Integral Exp X 2 Y 2 Da Where D Is The Region Bounded By The Semicircle X 4 Y 2 1 2 And The Y Axis Homework Help And Answers

Examples Of Changing The Order Of Integration In Double Integrals Math Insight
Double Integrals Over General Regions Page 2

Btech Ii Engineering Mathematics Unit3

Calculus Iii Double Integrals Over General Regions

Integrating E X 2 The Gaussian Integral Youtube

Solved Double Integrate D X Y E X 2 Y 2dxdy Where D Chegg Com

15 3 Double Integrals In Polar Coordinates Mathematics Libretexts

Btech Ii Engineering Mathematics Unit3
Gaussian Integral Wikipedia

Iterated Double Integral Multivariable Calculus Solved Past Paper Docsity
Q Tbn 3aand9gcqa3tsw3vyrgfnfdpcifb23uo2p26gxvbudauge9o1zcql7zbls Usqp Cau
Solved Evaluate The Double Integral Doubleintegral R E Chegg Com
Www Math Wustl Edu Sk Math233 Final Solutions Pdf

Solved Evaluate The Iterated Integral Integral 1 2 Integ Chegg Com
Gaussian Integral Wikipedia
2

Calc3 1001 By James Bardo Issuu

Solved A Using Polar Coordinates Evaluate The Improper Chegg Com
What Is The Double Integral Of F X Y E X Y When R Is The Area Bounded By Y X 1 Y X 1 Y 1 X Y 1 X How To Find R Enotes Com

Integral Calculator Integrate With Wolfram Alpha

Solved Evaluate Double Integrate E X 2 Y 2 Dydx Chegg Com
Integral De E X 2 Y 2

Btech Ii Engineering Mathematics Unit3
What Is The Integration Of E Power Y X With Limits 0 To 2 And 0 To X Quora
2
2

Btech Ii Engineering Mathematics Unit3

Consider Evaluating The Integral I Integral 2 Y Chegg Com

Solved Show How To Calculate The Iterated Integral Integ Chegg Com

Double Integration
Ocw Mit Edu Resources Res 18 001 Calculus Online Textbook Spring 05 Textbook Mitres 18 001 Strang Pdf

Proving Int 0 Infty Mathrm E X 2 Dx Frac Sqrt Pi 2 Mathematics Stack Exchange
Http Www Math Ntu Edu Tw Cheng Teaching Calculus Ch16 Pdf
Solved Use Polar Coordinates To Evaluate The Double Integ Chegg Com
Solved Evaluate Doubleintegral R Sin Y Y D A Where R 0 L Chegg Com

Example 2 Find Area Enclosed By Ellipse X2 Y2 B2 1
Web Math Ucsb Edu Danninglu Teaching Math 6a W19 Week 9 answer Pdf
Multiple Integral Wikipedia